2016年 EES工厂上海航欧中国区销售
德国EES电源、EES变压器、EES控制变压器、EES电机滤波单元、EES正弦过滤器
http://www.ees-online.de/en/contact/sales-international.html
2016年 EES工厂上海航欧中国区销售
德国EES电源、EES变压器、EES控制变压器、EES电机滤波单元、EES正弦过滤器
http://www.ees-online.de/en/contact/sales-international.html
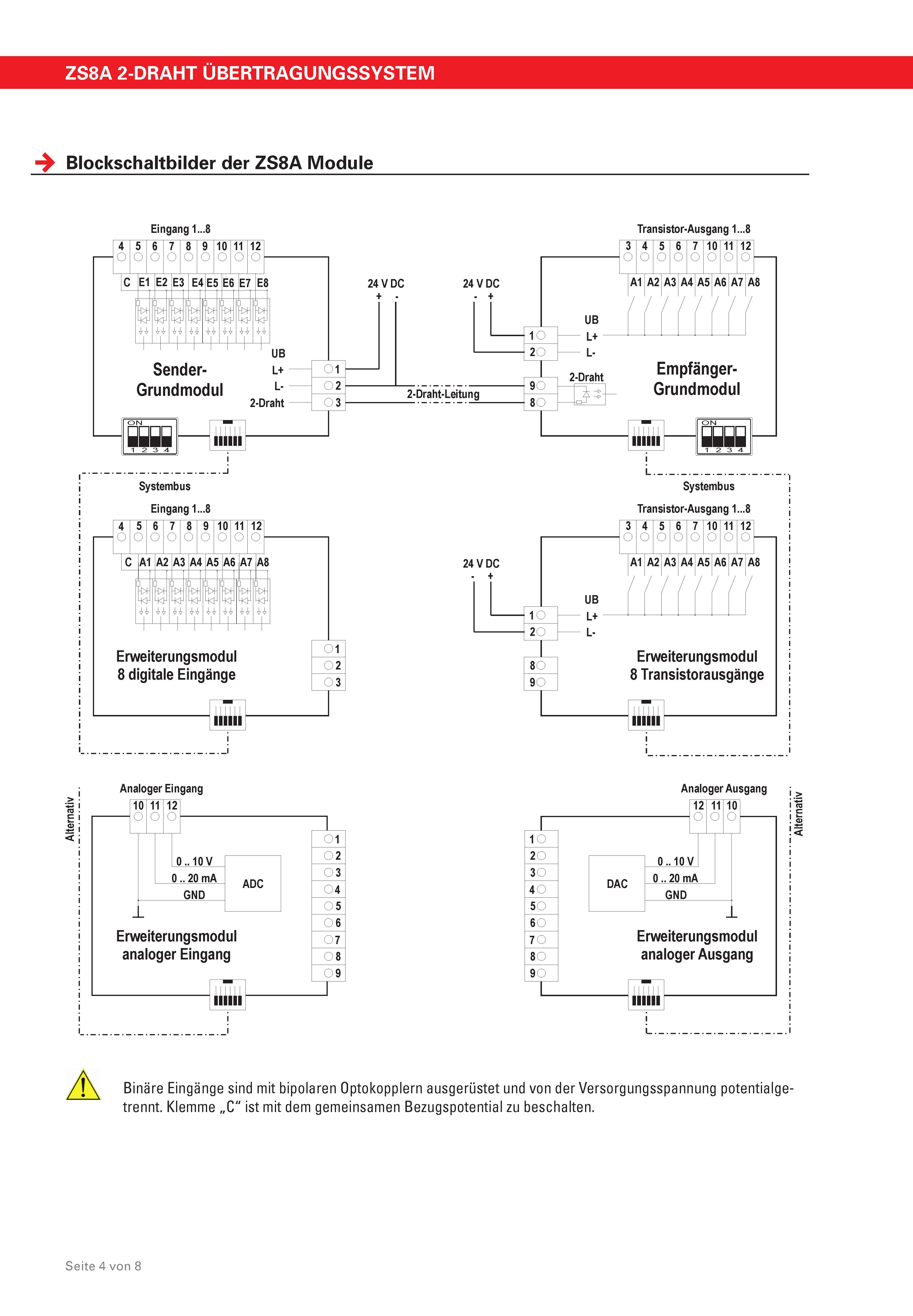
EES于1976年在德国建立,建立之初,主要生产故障报警器,用于发电和配电设施的监控。
上海航欧机电设备有限公司从事进口机电设备、仪器仪表等疑难备品备件的销售,是经营世界各地进口设备的现代化企业。
在90年代初,另一个带有2线传输系统的活动领域被建立,用于信息和指令。




越多过程的使用,越多的信息涌入,这就意味着出错的风险更高,准确率越低。
92ZS8AGE8DAZS8A-GE8DAZS8ABasicmodulereceiver8xDO8digitaloutputs
92ZS8AGS8DEZS8A-GS8DEZS8ABasicmoduletransmitter8xDI8digitalinputs
92ZS8AEM1AAZS8A-EM1AAZS8AExpansionmodule1xAO1analogoutput0-20mA
92ZS8AEM1AEZS8A-EM1AEZS8AExpansionmodule1xAI1analoginput0-20mA
92ZS8AEM8DAZS8A-EM8DAZS8AExpansionmodule8xDO8digitaloutputs
92ZS8AEM8DEZS8A-EM8DEZS8AExpansionmodule8xDI8digitalinputs
Bidirectional2-wiretransmissionsystemZS16
92ZS168M0BZS16-GM8DE/8DAZS16Mastermodule8DI/8DO8digoutputs8diginputs
92ZS168EABZS16-EM8DE/8DAZS16Expansionmodule8DI/8DO8digoutputs8diginputs
92ZS164AABZS16-EM4AAZS16Expansionmodule4xAO4analogoutputs0-20mA
92ZS164AEBZS16-EM4AEZS16Expansionmodule4xAI4analoginputs0-20mA
92ZS16VK1EZS16-VBK2ZS16Connectioncable20pol.1xMaster+1xExpansion
92ZS16VK2EZS16-VBK3ZS16Connectioncable20pol.1xMaster+2xExpansion
92ZS16VK3EZS16-VBK4ZS16Connectioncable20pol.1xMaster+3xExpansion
StandardIndication-andfaultannunciatingdevicesforpanelmounting
LABLedIndicationmodule
21KSH1KlarsichthaubeIP6596-x96mmTransparentcoverIP6596*96mm
21KST1SichttüreIP4296x96TransparentdoorIP4296*96mm
21LAB081011 LAB08-1/24 LED-Indication module f. LAB16-1-/SSM-product family
21LAB0810D2 LAB08-1/48 LED-Indication module f. LAB16-1-/SSM-product family
21LAB0810E3 LAB08-1/60 LED-Indication module 8 inputs
21LAB0810F5 LAB08-1/110 LED-Indication module 8 inputs
21LAB0810H5 LAB08-1/125 LED-Indication module 8 inputs
21LAB0810J7 LAB08-1/220 LED-Indication m
